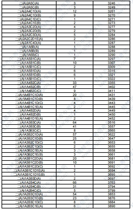
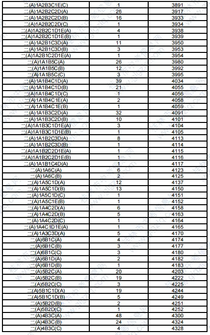
中考分數線一直都是考生和家長關注的焦點,那么,2025年桂林中考分數線有何新變化?是升是降?下面整理的2025年桂林中考各高中錄取分數線一覽表為您揭曉謎底,希望可以幫助到大家。![]() 2025年桂林中考錄取分數線一覽表 待2025年桂林中考結束后,各高中錄取分數線會陸續公布,大家在等待分數線的同時,可以了解一下2024年桂林中考錄取分數線,以便更好地了解中考分數線的變化和原因。 2024年桂林中考分數線 ![]() ![]() ![]() ![]() ![]() ![]() 中考如何快速提分? 一、精準定位薄弱環節 可以通過做模擬題、回顧平時作業中的錯題等方式,找出自己在哪些方面存在不足。針對這些薄弱點進行專項訓練,集中攻克難題。 二、高效利用碎片時間 合理安排學習時間,充分利用碎片化時間也是提高效率的好方法。比如,在上學路上可以聽英語聽力材料,課間休息時可以背誦幾個單詞或公式。這樣不僅提高了時間利用率,還能讓大腦保持持續的學習狀態。 三、掌握應試技巧 除了扎實的知識基礎,掌握一定的應試技巧也能幫助你更快地提分。比如,在考試中先做自己擅長的題目,確保拿到基礎分數;對于不確定的題目,先標記出來,最后再回頭仔細思考。 2025年桂林中考各高中錄取分數線一覽表就為大家介紹到這里,更多關于2025年中考成績查詢、高中錄取分數線、中考滿分作文等內容,請點擊訪問:2025中考欄目。 |









