|
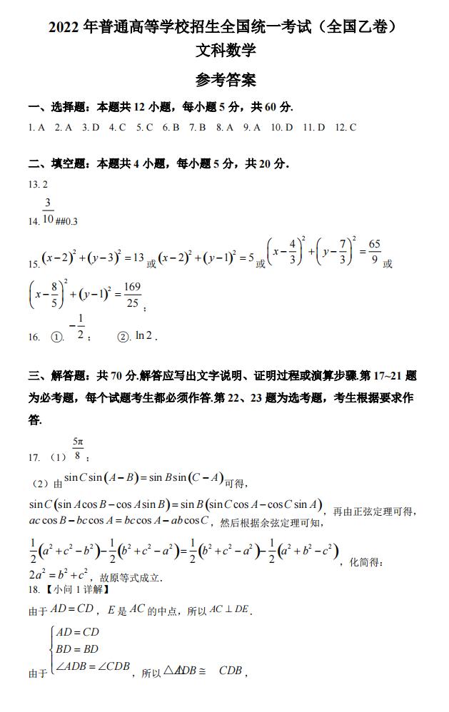
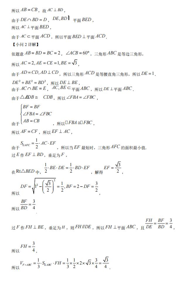
為了幫助大家全面了解2022年全國乙卷高考數學(文科)卷,下面我們為大家整理了最新的2022年全國乙卷高考數學(文科)試卷及答案,大家就能知道2022年全國乙卷高考數學(文科)難不難?有哪些題型?考了哪些知識點?以及高考數學(文科)試卷的解題思路和方法有哪些?希望對大家有所幫助。 2022年全國乙卷高考數學(文科)試卷 ![]() ![]() ![]() 2022年全國乙卷高考數學(文科)答案解析 ![]() ![]() ![]() 2022年全國乙卷高考數學(文科)試卷及答案就為大家介紹到這里,希望大家關注高考欄目,我們為大家提供2022年全套高考試卷及答案的同時,也為大家提供了高考成績查詢時間及入口、高考志愿填報時間及入口、高考分數線、高考錄取查詢時間等內容希望對大家有所幫助。 與2022年高考有關的其他文章: 2022年高考真題及答案解析(完整版) 2022年高考成績查詢時間及入口 2022年高考志愿填報入口 2022年各地高考分數線一覽表 今年高考考生多少人? |









